栏目
硫酸铵、镁、锰复盐结晶动力学研究
靳学利, 李明东, 尤晓宇, 王家伟, 胡平
2022, 13(1): 1-7. DOI: 10.13264/j.cnki.ysjskx.2022.01.001
摘要 HTML全文 PDF
锑冶金固废处置现状
王科, 王亲猛, 陈远林, 李栋, 田庆华, 郭学益
2022, 13(1): 8-17. DOI: 10.13264/j.cnki.ysjskx.2022.01.002
摘要 HTML全文 PDF
改性花生壳吸附分离湿法炼锌溶液中的镓和锗
马帅兵, 刘付朋, 陈飞雄
2022, 13(1): 18-26. DOI: 10.13264/j.cnki.ysjskx.2022.01.003
摘要 HTML全文 PDF
铸态共晶高熵合金的研究进展
孙元昊, 韩露娜, 高睿盈, 熊志平
2022, 13(1): 27-37. DOI: 10.13264/j.cnki.ysjskx.2022.01.004
摘要 HTML全文 PDF
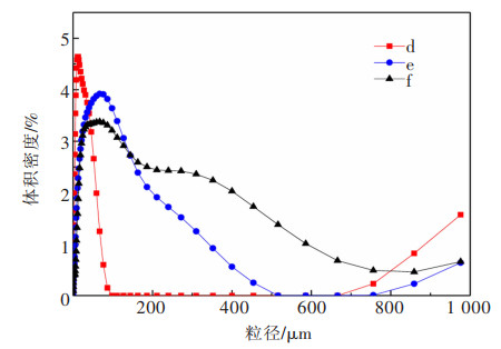
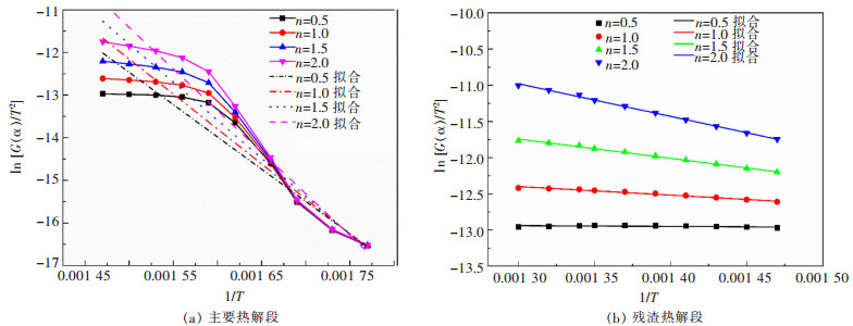
废旧电脑印刷电路板的热解特性及动力学分析
刘承飞, 李江平, 刘大方, 张鑫, 田强坤, 张威, 夏洪应
2022, 13(1): 38-43. DOI: 10.13264/j.cnki.ysjskx.2022.01.005
摘要 HTML全文 PDF
Cu-Ni-Ti合金高温热变形行为及热加工图
李律达, 洪鑫, 满绪存, 陈俏, 张建波, 刘锦平
2022, 13(1): 44-51. DOI: 10.13264/j.cnki.ysjskx.2022.01.006
摘要 HTML全文 PDF
脉冲电镀Ni镀层参数影响及耐腐蚀机理
江星新, 卢耀军, 李欣彤, 任泽华, 杨牧南, 杨斌
2022, 13(1): 52-59. DOI: 10.13264/j.cnki.ysjskx.2022.01.007
摘要 HTML全文 PDF
热力耦合作用下Al-2.8%Cu-1.35%Li-0.11%Zr合金析出相演化和力学性能
郝敏, 王亮, 李国爱, 冯朝辉, 陈军洲, 何维维
2022, 13(1): 60-66. DOI: 10.13264/j.cnki.ysjskx.2022.01.008
摘要 HTML全文 PDF
基于正交实验的凹凸棒/生物炭复合材料镉吸附性能
邓玲芳, 张纯, 刘辉, 王志国, 杨淋, 喻鹏
2022, 13(1): 67-75. DOI: 10.3264/j.cnki.ysjskx.2022.01.009
摘要 HTML全文 PDF
插套用导电CuSn合金耐腐蚀性能提升研究
向紫琪, 申会员, 何洋, 盛晓菲, 肖柱
2022, 13(1): 76-82. DOI: 10.13264/j.cnki.ysjskx.2022.01.010
摘要 HTML全文 PDF
中空SiC球形纳米颗粒的合成及吸波性能
向忠宁, 何秦川, 王益群, 任良贵
2022, 13(1): 83-92. DOI: 10.13264/j.cnki.ysjskx.2022.01.011
摘要 HTML全文 PDF
新型浮选机叶轮动力学性能及对粗颗粒浮选效果
谭明, 沈政昌, 张福亚
2022, 13(1): 93-100. DOI: 10.13264/j.cnki.ysjskx.2022.01.012
摘要 HTML全文 PDF
基于Mask RCNN的矿仓入料口
罗小燕, 刘顺, 汤文聪, 王兴卫
2022, 13(1): 101-107. DOI: 10.13264/j.cnki.ysjskx.2022.01.013
摘要 HTML全文 PDF
矿山环境污染高光谱遥感监测研究进展
李迎双, 李恒凯, 徐丰
2022, 13(1): 108-114. DOI: 10.13264/j.cnki.ysjskx.2022.01.014
摘要 HTML全文 PDF
GA-BP神经网络模型在稀土矿边坡位移监测中的应用
张世佳, 饶运章, 王文涛, 谭述君, 巫辅宇
2022, 13(1): 115-121. DOI: 10.13264/j.cnki.yjskx.2022.01.015
摘要 HTML全文 PDF
前驱体对氧化镧粉体形貌结构的影响
刘庆生, 肖浩, 邱廷省
2022, 13(1): 122-128. DOI: 10.13264/j.cnki.ysjskx.2022.01.016
摘要 HTML全文 PDF