栏目
Ni(Ⅱ)离子在两种离子液体中的电化学行为
卢精灵, 徐存英, 栗健茹, 向琴琴, 陈晓, 华一新, 张启波, 李艳
2022, 13(2): 1-9. DOI: 10.13264/j.cnki.ysjskx.2022.02.001
摘要 HTML全文 PDF
AlF3-(Li, Na)F-(Al2O3-Y2O3)熔盐体系物理化学性质研究
郝婷婷, 王旭, 翟玉春, 常云龙
2022, 13(2): 10-15. DOI: 10.13264/j.cnki.ysjskx.2022.02.002
摘要 HTML全文 PDF
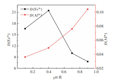
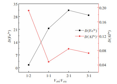
P204从高铝粉煤灰硫酸浸液中萃取除铁
赵爱春, 贺欣, 张廷安
2022, 13(2): 16-21. DOI: 10.13264/j.cnki.ysjskx.2022.02.003
摘要 HTML全文 PDF
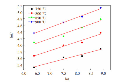
铁热还原法处理钙砷渣及金属砷的制备工艺
刘子翔, 梁佳昀, 孙京博, 龚傲, 田磊
2022, 13(2): 22-30. DOI: 10.13264/j.cnki.ysjskx.2022.02.004
摘要 HTML全文 PDF
Ni-SiO2复合镀层电沉积制备及组织性能研究
李云龙, 韩世超, 焦玉龙, 肖绮, 蔡彤彤, 张雪辉
2022, 13(2): 31-37. DOI: 10.13264/j.cnki.ysjskx.2022.02.005
摘要 HTML全文 PDF
7xxx系铝合金回归再时效的研究现状
马思怡, 张伟健, 苏睿明, 李广龙, 曲迎东, 李荣德
2022, 13(2): 38-50. DOI: 10.13264/j.cnki.ysjskx.2022.02.006
摘要 HTML全文 PDF
铝酸盐系长余辉材料的研究进展
石东新, 武世然, 杜含笑, 李锋锋
2022, 13(2): 51-58. DOI: 10.13264/j.cnki.ysjskx.2022.02.007
摘要 HTML全文 PDF
基于铝氧键稳定的隧道型钠离子电池正极材料
胡海燕, 武源波, 刘益峰, 唐瑞仁, 吴雄伟, 肖遥
2022, 13(2): 59-66. DOI: 10.13264/j.cnki.ysjskx.2022.02.008
摘要 HTML全文 PDF
冷拉拔变形对纯铜组织及性能的影响
刘若絮, 毛西秦, 欧梅桂, 梁宇, 肖秋雷
2022, 13(2): 67-75. DOI: 10.13264/j.cnki.ysjskx.2022.02.009
摘要 HTML全文 PDF
Al-Zn-Mg合金高温摩擦磨损行为研究
张婷蕊, 王孟君, 甄锦辉, 冯泽锡
2022, 13(2): 76-81. DOI: 10.13264/j.cnki.ysjskx.2022.02.010
摘要 HTML全文 PDF
700 MPa级大梁钢W撑开裂原因分析
张声洲, 周朝刚, 段紫晴, 赵定国, 汪云辉
2022, 13(2): 82-87. DOI: 10.13264/j.cnki.ysjskx.2022.02.011
摘要 HTML全文 PDF
固溶时间对UNS N10276焊管组织和性能的影响
张望成, 李强, 黄聪, 曾宪山
2022, 13(2): 88-92. DOI: 10.13264/j.cnki.ysjskx.2022.02.012
摘要 HTML全文 PDF
Ti9148钛合金β-相晶粒长大行为
吝媛, 杨奇, 黄拓, 杨晓龙, 刘伟, 李梦
2022, 13(2): 93-97. DOI: 10.13264/j.cnki.ysjskx.2022.02.013
摘要 HTML全文 PDF
热处理对压铸AlSi10MnMg合金组织和力学性能的影响
全泳琪, 程汉明, 王鹤睿, 赵耀, 林高用
2022, 13(2): 98-106. DOI: 10.13264/j.cnki.ysjskx.2022.02.014
摘要 HTML全文 PDF
安山玢岩-花岗斑岩混合矿石的磨矿产品粒度特性研究
柳晓峰, 康建雄
2022, 13(2): 107-112. DOI: 10.13264/j.cnki.ysjskx.2022.02.015
摘要 HTML全文 PDF
氨法炼锌及其污染物控制技术研究现状及进展
桂雨曦, 郝先东, 邱宏菊, 吴春晗, 段利平, 马林转, 陈菓, 高磊
2022, 13(2): 113-122. DOI: 10.13264/j.cnki.ysjskx.2022.02.016
摘要 HTML全文 PDF
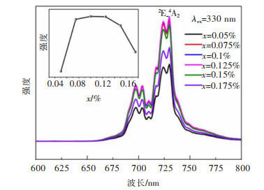
钠离子对KNa4B2P3O13: Sm荧光粉发光性能的增强作用研究
房珍宇, 杨丹, 郑佑馗, 朱静
2022, 13(2): 123-130. DOI: 10.13264/j.cnki.ysjskx.2022.02.017
摘要 HTML全文 PDF