栏目
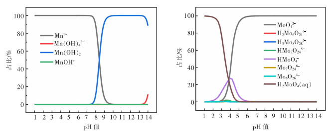
电解锰阳极渣吸附硫酸锰溶液中钼的行为研究
贺跃, 李明东, 杨攀, 王松, 王海峰, 王家伟
2022, 13(6): 1-6. DOI: 10.13264/j.cnki.ysjskx.2022.06.001
摘要 HTML全文 PDF
溢流式超重力净化反应器内夹杂物运动行为的数值模拟研究
胡蒙, 王哲, 郭占成
2022, 13(6): 7-16. DOI: 10.13264/j.cnki.ysjskx.2022.06.002
摘要 HTML全文 PDF
二次铝灰烧制镁铝尖晶石固相反应动力学及材料耐水蚀性能
张勇, 何小娟, 何运财, 王钰婷
2022, 13(6): 17-24. DOI: 10.13264/j.cnki.ysjskx.2022.06.003
摘要 HTML全文 PDF
物理富集—熔盐电解法从二次铝灰回收金属铝
吕梓阳, 刘爱民, 余愿, 管晋钊, 王德喜, 石忠宁
2022, 13(6): 25-33. DOI: 10.13264/j.cnki.ysjskx.2022.06.004
摘要 HTML全文 PDF
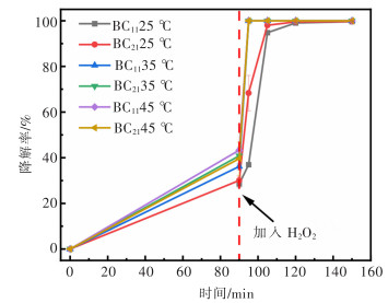
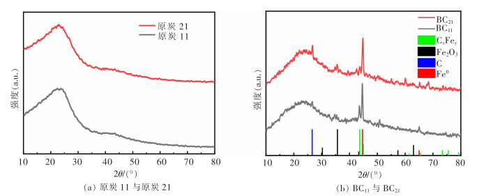
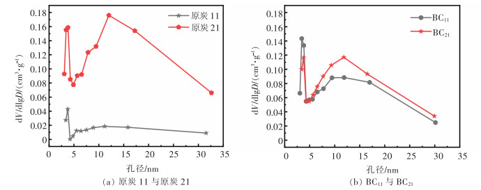
微波辅助热解制备铁氮/生物炭及其芬顿催化活性
李宇轩, 张纯, 刘辉, 王志国, 喻鹏
2022, 13(6): 34-41. DOI: 10.13264/j.cnki.ysjskx.2022.06.005
摘要 HTML全文 PDF
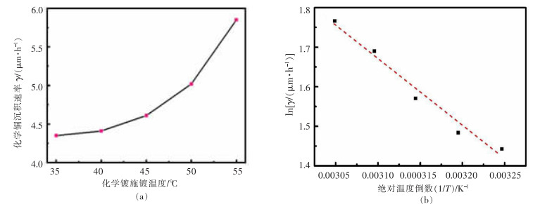
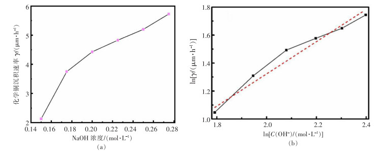
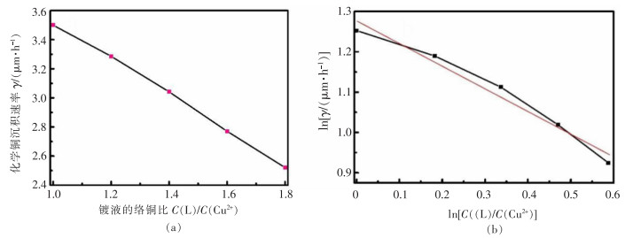
EDTA/THPED二元络合体系化学镀铜的沉积动力学分析
卢建红, 余柳丝, 范金龙, 孟俊臣, 陈立峰, 吴光伟
2022, 13(6): 42-49. DOI: 10.13264/j.cnki.ysjskx.2022.06.006
摘要 HTML全文 PDF
部分炭化策略制备Si@C材料及其储锂性能研究
刘晓娴, 郑娅, 刘娟, 喻强, 李小成, 韩峰, 王剑秋
2022, 13(6): 50-57. DOI: 10.13264/j.cnki.ysjskx.2022.06.007
摘要 HTML全文 PDF
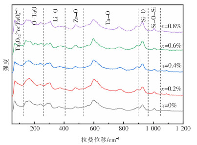
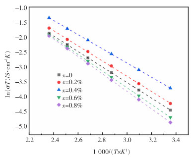
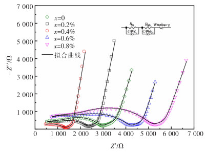
LiF掺杂提升Li1.1Ta0.9Zr0.1SiO5固态电解质室温离子电导率
廖瑞雄, 李子蔚, 雷金刚, 刘泽远, 王海忠, 赖福林, 王伯元, 张骞
2022, 13(6): 58-66. DOI: 10.13264/j.cnki.ysjskx.2022.06.008
摘要 HTML全文 PDF
基于机器学习的薄板屈服强度与制耳率建模分析
苗海宾, 向朝建, 张志阔, 刘胜楠, 黄东男, 吴永福
2022, 13(6): 67-73. DOI: 10.13264/j.cnki.ysjskx.2022.06.009
摘要 HTML全文 PDF
锂离子电池用氧化钨负极材料的改性
张克, 刘冬雪, 文敏, 尹艳红
2022, 13(6): 74-83. DOI: 10.13264/j.cnki.ysjskx.2022.06.010
摘要 HTML全文 PDF
物流机器人铝合金机械臂的表面强化与力学性能研究
佟静, 苏翀
2022, 13(6): 84-90. DOI: 10.13264/j.cnki.ysjskx.2022.06.011
摘要 HTML全文 PDF
基于改进BiSeNetV2的裂缝检测与识别
马俊祺, 陶星珍, 彭霖, 谢宇飞
2022, 13(6): 91-97. DOI: 10.13264/j.cnki.ysjskx.2022.06.012
摘要 HTML全文 PDF
基于无人机载三维激光扫描测量系统的采空区扫描及应用研究
张驰, 崔林鹏, 冀虎, 李建
2022, 13(6): 98-105. DOI: 10.13264/j.cnki.ysjskx.2022.06.013
摘要 HTML全文 PDF
基于GA-BP神经网络的露天矿边坡变形预测分析
陈兰兰, 杨雨云, 肖海平, 罗兵, 邹伟豪
2022, 13(6): 106-112. DOI: 10.13264/j.cnki.ysjskx.2022.06.014
摘要 HTML全文 PDF
江西宜丰圳口里低品位锂瓷石矿选矿试验研究
谢添, 杨思琦, 杨志兆, 张永兵, 罗仙平
2022, 13(6): 113-118. DOI: 10.13264/j.cnki.ysjskx.2022.06.015
摘要 HTML全文 PDF
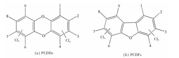
二噁英的生成及防治研究现状
魏宇轩, 李栋, 田苗, 乔晋玺, 王亲猛, 郭学益
2022, 13(6): 119-126. DOI: 10.13264/j.cnki.ysjskx.2022.06.016
摘要 HTML全文 PDF
钕铁硼废料浸出前后物相转变行为研究
刘庆生, 肖浩, 邱廷省
2022, 13(6): 127-133. DOI: 10.13264/j.cnki.ysjskx.2022.06.017
摘要 HTML全文 PDF
硫酸铵对离子型稀土矿区土壤重金属的释放和形态转化影响
谭启海, 赵永红, 黄璐, 万臣, 杨智, 周丹
2022, 13(6): 134-144. DOI: 10.13264/j.cnki.ysjskx.2022.06.018
摘要 HTML全文 PDF
基于膜技术处理离子型稀土矿开采废水的研究
罗小娟, 雷琼
2022, 13(6): 145-154. DOI: 10.13264/j.cnki.ysjskx.2022.06.019
摘要 HTML全文 PDF