栏目
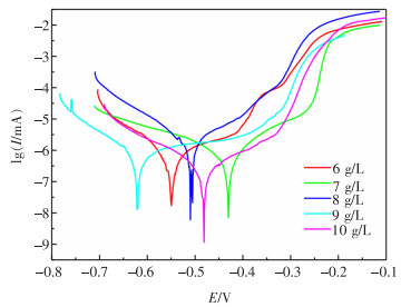
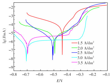
铅冶炼烟尘浸出液中镉的电积行为的规律
夏柳, 张文娟, 马保中, 王成彦
2022, 13(3): 1-8. DOI: 10.13264/j.cnki.ysjskx.2022.03.001
摘要 HTML全文 PDF
氧气底吹炼铜模拟仿真研究进展
郭学益, 姜保成, 王亲猛, 王松松, 田庆华, 李栋
2022, 13(3): 9-19. DOI: 10.13264/j.cnki.ysjskx.2022.03.002
摘要 HTML全文 PDF
氧化锌法矿化吸收重金属冶炼烟气中SO2的研究
范晓彬, 张伟光, 曹雪娇, 李义兵, 蔡震雷, 张廷安
2022, 13(3): 20-25. DOI: 10.13264/j.cnki.ysjskx.2022.03.003
摘要 HTML全文 PDF
低品位铝土矿的高效脱硫脱硅工艺研究
蒋正帅, 夏飞龙, 张姗姗, 张强, 张敏
2022, 13(3): 26-34. DOI: 10.13264/j.cnki.ysjskx.2022.03.004
摘要 HTML全文 PDF
石墨烯复合导电剂对LiNi0.5Co0.2Mn0.3O2动力学及电化学性能的影响
夏鼎峰, 周苗苗, 郭乾坤, 胡顺, 邹金, 钟盛文
2022, 13(3): 35-42. DOI: 10.13264/j.cnki.ysjskx.2022.03.005
摘要 HTML全文 PDF
氯化铁溶液浸出低冰镍提取镍铜的研究
宁志强, 唐子瑞, 刘家辉, 王露, 朱飞晓
2022, 13(3): 43-48. DOI: 10.13264/j.cnki.ysjskx.2022.03.006
摘要 HTML全文 PDF
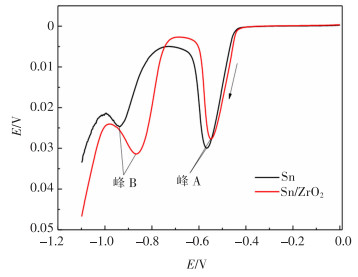
Sn/ZrO2镀层的制备及ZrO2纳米粒子对电沉积过程的影响
耿杨壘, 王一雍
2022, 13(3): 49-54. DOI: 10.13264/j.cnki.ysjskx.2022.03.007
摘要 HTML全文 PDF
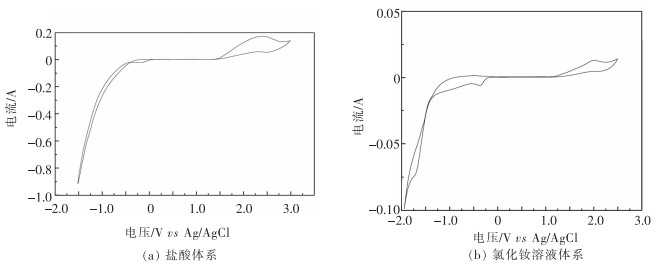
阳离子膜电解法制备氧化钕的研究及表征
刘江, 张廷安, 豆志河, 曹亦俊
2022, 13(3): 55-62. DOI: 10.13264/j.cnki.ysjskx.2022.03.008
摘要 HTML全文 PDF
多维度二元导电剂对LiNi0.5Co0.2Mn0.3O2电池性能的影响
邹金, 胡顺, 龙茜茜, 李宝宝, 钟盛文
2022, 13(3): 63-68. DOI: 10.13264/j.cnki.ysjskx.2022.03.009
摘要 HTML全文 PDF
双级时效对7075合金应力腐蚀性能影响
李晓含, 贺嘉宁, 苏睿明, 杨玉萍, 聂赛男, 谭兵
2022, 13(3): 69-75. DOI: 10.13264/j.cnki.ysjskx.2022.03.010
摘要 HTML全文 PDF
基于金属-有机框架的乙酰丙酮荧光传感器的研究进展
熊宇晨, 姚姝莉, 刘遂军
2022, 13(3): 76-88. DOI: 10.13264/j.cnki.ysjskx.2022.03.011
摘要 HTML全文 PDF
失效锂离子电池正极材料管道化浸出工艺
陈世贤, 苏昊, 戴曦
2022, 13(3): 89-98. DOI: 10.13264/j.cnki.ysjskx.2022.03.012
摘要 HTML全文 PDF
膏体充填开采覆岩移动变形规律研究
廖宝泉, 柯愈贤, 方立发, 胡凯建, 曾杰, 陶铁军
2022, 13(3): 99-105. DOI: 10.13264/j.cnki.ysjskx.2022.03.013
摘要 HTML全文 PDF
酸法地浸采铀多井系统中渗透系数时空演化模拟
陈经明, 周泽超, 陈茜茜, 李寻, 罗跃
2022, 13(3): 106-116. DOI: 10.13264/j.cnki.ysjskx.2022.03.014
摘要 HTML全文 PDF
“十三五”期间我国铅锌硫化矿选矿技术进展
罗仙平, 杨思琦, 何坤忠, 张永兵, 周贺鹏
2022, 13(3): 117-129. DOI: 10.13264/j.cnki.ysjskx.2022.03.015
摘要 HTML全文 PDF
超声波强化铜钼浮选过程的研究
康建雄, 王泽凯, 柳晓峰, 胡运祯, 黄万抚
2022, 13(3): 130-136. DOI: 10.13264/j.cnki.ysjskx.2022.03.016
摘要 HTML全文 PDF
多源有色冶炼固废中稀散金属可控富集过程的生命周期评价——以富集碲为例
陆柳鲜, 王俊峰, 林锦, 陈云嫩, 邱廷省
2022, 13(3): 137-144. DOI: 10.13264/j.cnki.ysjskx.2022.03.017
摘要 HTML全文 PDF
LaCl3-KCl熔盐体系物化性质研究
康佳, 闫奇操, 于兵, 刘玉宝, 陈国华, 赵二雄, 张全军, 黄海涛
2022, 13(3): 145-151. DOI: 10.13264/j.cnki.ysjskx.2022.03.018
摘要 HTML全文 PDF
稀土电解槽电化学三维时变流场数值模拟
逄启寿, 忻治霖, 林小程, 龚姚腾, 王郅阳
2022, 13(3): 152-158. DOI: 10.13264/j.cnki.ysjskx.2022.03.019
摘要 HTML全文 PDF