栏目
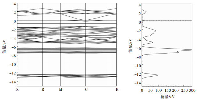
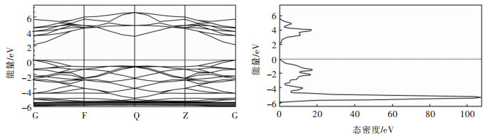
ZnS掺杂Fe2+电子结构第一性原理计算及对矿物浸出的影响
凡杰, 谢刚, 田林, 俞小花, 王冰冰, 王品杰
2021, 12(2): 1-7. DOI: 10.13264/j.cnki.ysjskx.2021.02.001
摘要 HTML全文 PDF
低共熔溶剂电化学回收废铅膏可控制备铅粉的研究
耿笑, 汝娟坚, 华一新, 张文文, 程明强, 黄皓铭, 王道祥
2021, 12(2): 8-13, 49. DOI: 10.13264/j.cnki.ysjskx.2021.02.002
摘要 HTML全文 PDF
我国铜、铅阳极泥脱砷工艺研究现状
张金池, 张福元
2021, 12(2): 14-22. DOI: 10.13264/j.cnki.ysjskx.2021.02.003
摘要 HTML全文 PDF
铜渣改质、磁选及磁选尾渣制备陶瓷的基础研究
侯霖杰, 孟昕阳, 王宏宇, 王治飞, 李宇
2021, 12(2): 23-29. DOI: 10.13264/j.cnki.ysjskx.2021.02.004
摘要 HTML全文 PDF
二维光催化材料研究进展
王颖, 杨传玺, 王小宁, 朱青, 董文平, 杨诚, 吕豪杰, 王炜亮, 樊玉琪
2021, 12(2): 30-42. DOI: 10.13264/j.cnki.ysjskx.2021.02.005
摘要 HTML全文 PDF
喷射沉积Al-12Si-0.6Mg合金的微观组织与性能
许春停, 郭祊鹤, 张辉, 吴瑛, 王日初, 蔡志勇
2021, 12(2): 43-49. DOI: 10.13264/j.cnki.ysjskx.2021.02.006
摘要 HTML全文 PDF
吸收层及缓冲层厚度对Cu3BiS3太阳能电池的性能影响
方毅, 赵文宁, 韩修训
2021, 12(2): 50-55. DOI: 10.13264/j.cnki.ysjskx.2021.02.007
摘要 HTML全文 PDF
Bi2MoO6的形貌调控及其应用研究进展
张川群, 周勤, 徐冲, 刘新, 谭颖, 黄微雅
2021, 12(2): 56-65. DOI: 10.13264/j.cnki.ysjskx.2021.02.008
摘要 HTML全文 PDF
艾砂磨机在锂云母浮选分离的应用
童佳琪, 廖紫鑫, 朱玉华, 吴季, 袁程方, 吴彩斌
2021, 12(2): 66-71. DOI: 10.13264/j.cnki.ysjskx.2021.02.009
摘要 HTML全文 PDF
铜矿区含低浓度NH4+-N、Cu2+污水的处理
靖青秀, 彭建, 张呈熙, 黄晓东, 游威
2021, 12(2): 72-78. DOI: 10.13264/j.cnki.ysjskx.2021.02.010
摘要 HTML全文 PDF
赣江上游河道氮污染分析评价
陈明, 刘正芳, 刘友存, 许燕颖, 邹杰平
2021, 12(2): 79-89. DOI: 10.13264/j.cnki.ysjskx.2021.02.011
摘要 HTML全文 PDF
基于导波技术的尾矿坝溃坝预警研究
汤紫凯, 何文, 林凤翻, 秦政
2021, 12(2): 90-96, 126. DOI: 10.13264/j.cnki.ysjskx.2021.02.012
摘要 HTML全文 PDF
监测预警技术在泥石流灾害中的应用
徐根祺, 温宗周, 李丽敏, 马婧, 姚怡
2021, 12(2): 97-104. DOI: 10.13264/j.cnki.ysjskx.2021.02.013
摘要 HTML全文 PDF
降低离子型稀土原地浸矿残留稀土的对策探讨
吴昊, 邱廷省, 严华山
2021, 12(2): 105-112. DOI: 10.13264/j.cnki.ysjskx.2021.02.014
摘要 HTML全文 PDF
离子型稀土矿冶炼分离生产取水定额调研分析及研究
张选旭
2021, 12(2): 113-119. DOI: 10.13264/j.cnki.ysjskx.2021.02.015
摘要 HTML全文 PDF
中国稀土开采总量控制政策效应评估
易璐, 郑明贵
2021, 12(2): 120-126. DOI: 10.13264/j.cnki.ysjskx.2021.02.016
摘要 HTML全文 PDF