栏目
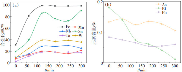
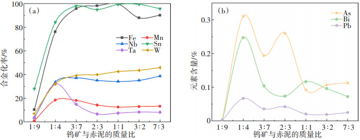
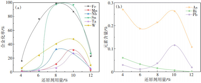
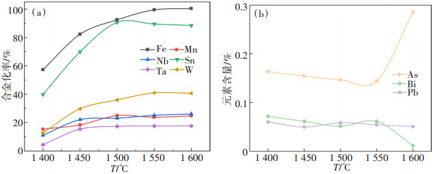
碱煮黑白钨渣与赤泥协同碳热还原回收制备铁锰钨锡合金
霍瑞浩, 谢岁, 邓攀, 曾智勇, 廖春发, 王旭
2023, 14(3): 295-301. DOI: 10.13264/j.cnki.ysjskx.2023.03.001
摘要 HTML全文 PDF
CaO-SiO2-MgO-Al2O3-FeO-Cr2O3渣系中铬尖晶石析出行为的热力学计算
苏丽娟, 许继芳, 左龙
2023, 14(3): 302-310. DOI: 10.13264/j.cnki.ysjskx.2023.03.002
摘要 HTML全文 PDF
LiCl-KCl-MgCl2熔盐体系中Li-Mg共沉积机理研究
张远景, 刘兆庭, 朱实贵, 路贵民
2023, 14(3): 311-317. DOI: 10.13264/j.cnki.ysjskx.2023.03.003
摘要 HTML全文 PDF
铜底吹熔池熔炼炉多相流数值模拟
彭金鹏, 詹佳鑫, 张斌, 吴怡康, 李明周
2023, 14(3): 318-328. DOI: 10.13264/j.cnki.ysjskx.2023.03.004
摘要 HTML全文 PDF
含砷金(精)矿预处理过程中砷的走向
王辉, 王剑, 王苹, 潘玥, 王瑞祥, 徐志峰
2023, 14(3): 329-337. DOI: 10.13264/j.cnki.ysjskx.2023.03.005
摘要 HTML全文 PDF
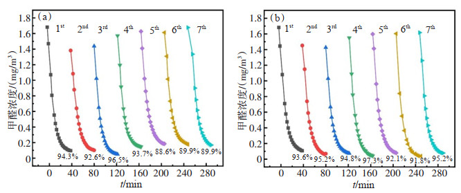
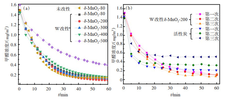
钨改性δ-MnO2的制备及其在空气净化中的应用研究
方倩, 康建刚, 唐文武, 任彩, 张惠斌
2023, 14(3): 338-346. DOI: 10.13264/j.cnki.ysjskx.2023.03.006
摘要 HTML全文 PDF
基于二硒化铂新型纳米器件高各向异性输运研究
李燕, 董先声, 刘国港, 廖健, 陈铜
2023, 14(3): 347-354. DOI: 10.13264/j.cnki.ysjskx.2023.03.007
摘要 HTML全文 PDF
石墨烯和碳纳米管二元复合导电剂对LiNi0.5Co0.2Mn0.3O2锂离子电池性能的影响
黄锦朝, 郭子霆, 肖青梅, 钟盛文
2023, 14(3): 355-362. DOI: 10.13264/j.cnki.ysjskx.2023.03.008
摘要 HTML全文 PDF
非饱和红砂岩风化土土水特征及降雨对其边坡稳定性的影响
袁心安, 温树杰, 孙自立, 宋亮亮
2023, 14(3): 363-371. DOI: 10.13264/j.cnki.ysjskx.2023.03.009
摘要 HTML全文 PDF
基于LOF-SMOTE算法的地下水影响下矿山岩溶塌陷风险预测研究
盛建龙, 乔宇, 王平, 俞栋华, 张彦文
2023, 14(3): 372-380. DOI: 10.13264/j.cnki.ysjskx.2023.03.010
摘要 HTML全文 PDF
湿法炼锌浸出渣的工艺矿物学研究
蒋桂玉, 夏洪应, 张奇, 徐英杰
2023, 14(3): 381-386. DOI: 10.13264/j.cnki.ysjskx.2023.03.011
摘要 HTML全文 PDF
污泥源腐殖酸的提取及沉淀低浓度稀土作用机制
麻欣宇, 李雪蓉, 叶松, 王俊峰, 陈云嫩, 钟常明
2023, 14(3): 387-399. DOI: 10.13264/j.cnki.ysjskx.2023.03.012
摘要 HTML全文 PDF
低强度超声波提升厌氧污泥对重金属Cu(Ⅱ)极限浓度调控效果
朱彦辉, 朱易春, 刘祖文, 田帅, 李鑫
2023, 14(3): 400-406. DOI: 10.13264/j.cnki.ysjskx.2023.03.013
摘要 HTML全文 PDF
碳热还原法制备MoSx@ZVI复合材料及其处理酸性橙G废水研究
周文旺, 蒋晨曦, 曾淡良, 吴艺博, 邱廷省, 余文
2023, 14(3): 407-415. DOI: 10.13264/j.cnki.ysjskx.2023.03.014
摘要 HTML全文 PDF
离子型稀土矿硫酸镁溶液原地浸矿渗流演化实验研究
谭述君, 饶运章, 张美道, 王丹, 张世佳, 巫辅宇
2023, 14(3): 416-424. DOI: 10.13264/j.cnki.ysjskx.2023.03.015
摘要 HTML全文 PDF
稀土单原子光催化剂制备和应用研究进展
赵凯燕, 李锋, 余长林, 杨凯
2023, 14(3): 425-438. DOI: 10.13264/j.cnki.ysjskx.2023.03.016
摘要 HTML全文 PDF
基于好氧颗粒污泥的膜生物反应器处理离子型稀土冶炼废水
罗小娟, 罗凯, 钟招煌, 李新冬
2023, 14(3): 439-446. DOI: 10.13264/j.cnki.ysjskx.2023.03.017
摘要 HTML全文 PDF