栏目
卤水-氨法反向沉淀对氢氧化镁结晶生长的影响
刘辉, 罗才贵, 邹来禧, 宋学文, 柳殷, 罗仙平
2023, 14(2): 151-160. DOI: 10.13264/j.cnki.ysjskx.2023.02.001
摘要 HTML全文 PDF
超重力强化分离回收铜浮渣中铅与铜
高金涛, 周皓羽, 兰茜, 李想, 郭占成
2023, 14(2): 161-170. DOI: 10.13264/j.cnki.ysjskx.2023.02.002
摘要 HTML全文 PDF
FeO含量对不锈钢渣微晶玻璃铬的迁移分布规律及固铬效果的影响
佟志芳, 许聪聪, 王佳兴, 贾志恒, 张传搏
2023, 14(2): 171-181. DOI: 10.13264/j.cnki.ysjskx.2023.02.003
摘要 HTML全文 PDF
NaCl-KCl-MgCl2-Cu2S熔体中铜电沉积的电化学机理
闵定伟, 陈功, 文棠根, 石忠宁, 黄义鹏, 杨少华
2023, 14(2): 182-188. DOI: 10.13264/j.cnki.ysjskx.2023.02.004
摘要 HTML全文 PDF
铝离子电池电解质研究进展
陈诺, 郭轲, 郭玉玺, 王伟, 焦树强
2023, 14(2): 189-201. DOI: 10.13264/j.cnki.ysjskx.2023.02.005
摘要 HTML全文 PDF
电沉积合成镍/氢氧化镍/聚苯胺薄膜及其电容特性
邹呈骏, 洪佳斌, 吴永麟, 王春香, 李之锋
2023, 14(2): 202-209. DOI: 10.13264/j.cnki.ysjskx.2023.02.006
摘要 HTML全文 PDF
基于锰渣制备催化剂高效去除双酚A
雒梦琦, 熊道陵, 贺治国, 罗序燕
2023, 14(2): 210-218. DOI: 10.13264/j.cnki.ysjskx.2023.02.007
摘要 HTML全文 PDF
米拉多铜精矿氧化自燃诱因分析与讨论
唐文忠, 蔡晨龙
2023, 14(2): 219-226. DOI: 10.13264/j.cnki.ysjskx.2023.02.008
摘要 HTML全文 PDF
石墨烯与导电炭黑Super-P复合导电剂对LiNi0.5Co0.2Mn0.3O2锂离子电池性能的影响
郭子霆, 黄锦朝, 肖青梅, 钟盛文
2023, 14(2): 227-234. DOI: 10.13264/j.cnki.ysjskx.2023.02.009
摘要 HTML全文 PDF
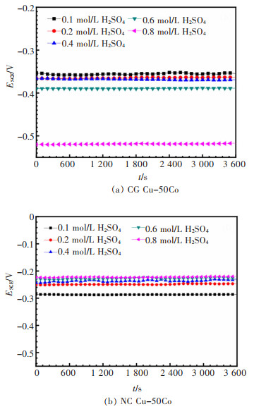
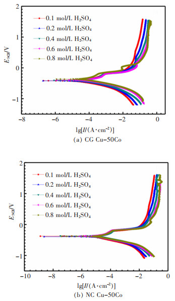
纳米晶Cu-Co合金在不同浓度H2SO4溶液中耐蚀性能研究
王秀, 刘嘉欣, 范馨月, 周子力, 韩漾, 曹中秋, 王艳, 张轲, 辛士刚
2023, 14(2): 235-242. DOI: 10.13264/j.cnki.ysjskx.2023.02.010
摘要 HTML全文 PDF
纯Cu添加量对轧制铝箔坯料组织与性能影响
黎志勇
2023, 14(2): 243-248. DOI: 10.13264/j.cnki.ysjskx.2023.02.011
摘要 HTML全文 PDF
某金矿全尾砂高浓度充填流变特性与微观结构的分析
杨纪光, 王义海, 吴再海, 童川, 李广波, 宋泽普, 荆晓东, 郭加仁, 王玉亮
2023, 14(2): 249-256. DOI: 10.13264/j.cnki.ysjskx.2023.02.012
摘要 HTML全文 PDF
上部卸矿冲击对储矿段井壁侧压力分布的影响及其机理
邓哲, 路增祥, 王少阳, 马强英
2023, 14(2): 257-263. DOI: 10.13264/j.cnki.ysjskx.2023.02.013
摘要 HTML全文 PDF
云南某硫精矿二次回收铅锌工艺研究
邓文, 赵云, 于星才, 曹阳, 刘瑞增, 申培伦, 刘殿文
2023, 14(2): 264-271. DOI: 10.13264/j.cnki.ysjskx.2023.02.014
摘要 HTML全文 PDF
基于水性聚氨酯与膨润土的混合固土效果试验研究
陈飞, 罗特, 施康, 钱乾
2023, 14(2): 272-279. DOI: 10.13264/j.cnki.ysjskx.2023.02.015
摘要 HTML全文 PDF
一种离子型稀土矿体渗透性空间分布的计算方法
王明照, 龙平, 胡世丽, 王观石, 罗嗣海, 洪本根
2023, 14(2): 280-287. DOI: 10.13264/j.cnki.ysjskx.2023.02.016
摘要 HTML全文 PDF
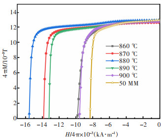
高矫顽力混合稀土永磁体的微结构与磁性能
刘宇飞, 刘艳丽, 王鑫, 周建军, 俎达, 贾美爽, 刘飞, 马强
2023, 14(2): 288-294. DOI: 10.13264/j.cnki.ysjskx.2023.02.017
摘要 HTML全文 PDF