NaCl-KCl-Na2WO4共融体系的方波伏安法分析

Square wave voltammetry analysis of NaCl-KCl-Na2WO4 communion system

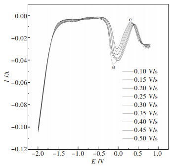
  • 摘要: 采用三电极体系,应用方波伏安法分析NaCl-KCl-Na2WO4共融体系的电化学特性,重点研究了钨(Ⅵ)离子的电化学行为,结果表明:W(Ⅵ)→W(Ⅳ)还原过程的特征峰与W(Ⅳ)→W的特征峰发生相互重叠,W(Ⅵ)离子的还原过程分2步,即:W(Ⅵ)→W(Ⅳ)→W,其中第1步W(Ⅵ)→W(Ⅳ)过程可逆,第2步W(Ⅳ)→W过程不可逆.

     

    Abstract: Characteristics of NaCl -KCl -Na2WO4 communion system was analyzed by three -electrode system and square wave voltammetry, focusing on the electrochemical behavior of the tungsten ion (VI). The results show that the characteristic peak of reduction process of W (Ⅵ)→W (Ⅳ) and W (Ⅳ)→W is overlapping, and the reduction process of tungsten ion (VI) is divided into two steps, that is W (Ⅵ)→W (Ⅳ)→W, of which the first step is reversible, while the second step, W (IV)→W, is irreversible.

     

/

返回文章
返回