栏目
氧化锌烟尘不同浸出体系锗提取行为
廖彬, 刘付朋
2023, 14(5): 597-605. DOI: 10.13264/j.cnki.ysjskx.2023.05.001
摘要 HTML全文 PDF
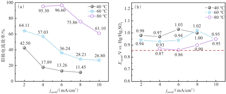
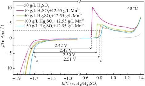
高效电解二氧化锰电化学分析研究
裴启飞, 卢文鹏, 郭孟伟, 邵伟春, 王恩泽, 张启波
2023, 14(5): 606-614. DOI: 10.13264/j.cnki.ysjskx.2023.05.002
摘要 HTML全文 PDF
阳极泥中铜的常压氧化预脱除及动力学分析
张金凤, 崔雅茹, 何喜红, 李林波, 张飞宇, 吕超飞, 周宇飞
2023, 14(5): 615-623. DOI: 10.13264/j.cnki.ysjskx.2023.05.003
摘要 HTML全文 PDF
钕铁硼二次废料溶析结晶法制备硫酸亚铁
张灿文, 刘艳红, 熊道陵, 欧阳少波, 文明福, 卢雄雄, 阳金娟, 李檬
2023, 14(5): 624-632. DOI: 10.13264/j.cnki.ysjskx.2023.05.004
摘要 HTML全文 PDF
FeAl-Zn-Mg-Si熔融镀液中Cr含量的影响
金鑫焱, 任玉苓, 林传华, 王凯
2023, 14(5): 633-640. DOI: 10.13264/j.cnki.ysjskx.2023.05.005
摘要 HTML全文 PDF
高强高导石墨烯增强铜基复合材料的研究进展
张晓青, 姜庆伟, 张守健, 刘博文, 王洪岗, 严光茂
2023, 14(5): 641-650. DOI: 10.13264/j.cnki.ysjskx.2023.05.006
摘要 HTML全文 PDF
钽铌尾矿制备发泡陶瓷研究
汪劲刚, 何桂春, 肖志, 易晨
2023, 14(5): 651-658. DOI: 10.13264/j.cnki.ysjskx.2023.05.007
摘要 HTML全文 PDF
二氧化硅和聚二甲基硅氧烷协同改性的环氧树脂涂层的制备及性能
钟俊聪, 何翕, 庄佳伟, 安广萍, 林燕飞, 刘小强
2023, 14(5): 659-667. DOI: 10.13264/j.cnki.ysjskx.2023.05.008
摘要 HTML全文 PDF
人工植入缺陷对增材制造TC4钛合金性能的影响规律
王继航, 蔡雨升, 姜沐池, 任德春, 吉海宾, 雷家峰, 肖旋
2023, 14(5): 668-675. DOI: 10.13264/j.cnki.ysjskx.2023.05.009
摘要 HTML全文 PDF
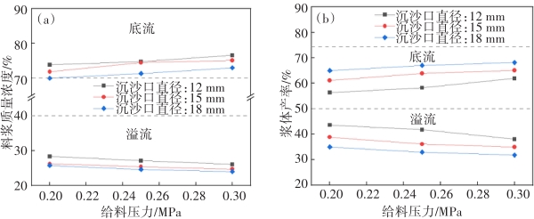
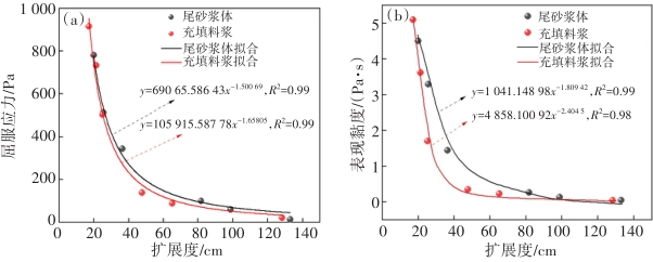
不同因素对超细尾砂胶结充填料流动性、强度和微观结构的影响
滑怀田, 王清亚
2023, 14(5): 676-683. DOI: 10.13264/j.cnki.ysjskx.2023.05.010
摘要 HTML全文 PDF
基于断层影响下的充填体强度需求优化研究
李广波, 盛宇航, 吴再海, 宋泽普
2023, 14(5): 684-691. DOI: 10.13264/j.cnki.ysjskx.2023.05.011
摘要 HTML全文 PDF
磁黄铁矿对黄铁矿粉尘爆炸特性参数的影响
田长顺, 饶运章, 苏港, 黄涛
2023, 14(5): 692-699. DOI: 10.13264/j.cnki.ysjskx.2023.05.012
摘要 HTML全文 PDF
基于空间插值算法确定离子型稀土矿体的底板
谢文强, 龙平, 胡世丽
2023, 14(5): 700-705. DOI: 10.13264/j.cnki.ysjskx.2023.05.013
摘要 HTML全文 PDF
6 kA稀土钕电解槽多相流动数值模拟
文棠根, 张斌, 张家微, 李明周, 杨少华
2023, 14(5): 706-715. DOI: 10.13264/j.cnki.ysjskx.2023.05.014
摘要 HTML全文 PDF
电磁搅拌对Al-14Ce合金初生/共晶相与力学性能的影响
戴琨, 汪志刚, 叶洁云, 陈继强, 何昌伟, 熊克智
2023, 14(5): 716-727. DOI: 10.13264/j.cnki.ysjskx.2023.05.015
摘要 HTML全文 PDF
桨叶层数对导流筒搅拌槽内搅拌影响的数值模拟
罗璇, 冯羽生, 逄启寿
2023, 14(5): 728-733. DOI: 10.13264/j.cnki.ysjskx.2023.05.016
摘要 HTML全文 PDF
全球稀土新材料的技术演进及中国稀土产业链延伸的方向选择
罗翔, 李政, 赖丹
2023, 14(5): 734-746. DOI: 10.13264/j.cnki.ysjskx.2023.05.017
摘要 HTML全文 PDF