栏目
铜阳极泥复合浸出渣选择性分离硒过程热力学分析
曾颜亮, 霍瑞浩, 邹建柏, 廖春发, 刘付朋
2023, 14(1): 1-7. DOI: 10.13264/j.cnki.ysjskx.2023.01.001
摘要 HTML全文 PDF
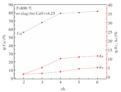
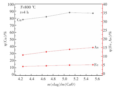
铁矾渣熔化-烟化过程中铅元素的挥发性质研究
张立志, 张玉姣, 马卫星, 杜雪岩
2023, 14(1): 8-15. DOI: 10.13264/j.cnki.ysjskx.2023.01.002
摘要 HTML全文 PDF
从铜冶炼阳极炉精炼渣中提取铜工艺研究
唐超凡, 张荣良, 李聪, 曾加, 张威, 杨瑞祥, 贺一夫, 李佳骏
2023, 14(1): 16-23. DOI: 10.13264/j.cnki.ysjskx.2023.01.003
摘要 HTML全文 PDF
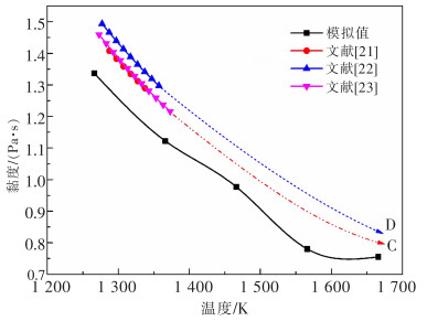
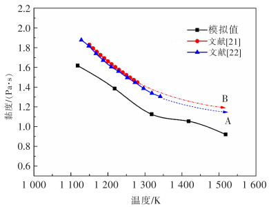
典型碱金属氟盐黏度分子动力学模拟评估
孙凯磊, 王旭, 蔡伯清, 廖春发, 石忠宁
2023, 14(1): 24-29. DOI: 10.13264/j.cnki.ysjskx.2023.01.004
摘要 HTML全文 PDF
钕铁硼磁材二次废料制备高纯硫酸亚铁
卢雄雄, 熊道陵, 文明福, 欧阳少波, 李檬, 张灿文, 刘艳红, 阳金娟
2023, 14(1): 30-39. DOI: 10.13264/j.cnki.ysjskx.2023.01.005
摘要 HTML全文 PDF
废旧特斯拉电池LiNi0.815Co0.15Al0.035O2正极物料选择性焙烧转型提锂
李铠镔, 刘付朋, 马帅兵, 陈飞雄
2023, 14(1): 40-50. DOI: 10.13264/j.cnki.ysjskx.2023.01.006
摘要 HTML全文 PDF
二氧化钛涂层改性锌负极及其在水系锌离子电池中的应用
刘涛, 赖中元, 李小成, 韩峰, 王剑秋
2023, 14(1): 51-56. DOI: 10.13264/j.cnki.ysjskx.2023.01.007
摘要 HTML全文 PDF
LiClO4预氧化Ni0.8Co0.17Al0.03(OH)2提升锂离子电池的循环稳定性
赖福林, 王玉琴, 马全新, 周翎飞, 杨梦倩, 钟盛文, DmytroSydorov
2023, 14(1): 57-66. DOI: 10.13264/j.cnki.ysjskx.2023.01.008
摘要 HTML全文 PDF
Ni元素对Al-Cu-Mn合金组织及力学性能的影响
杨玉萍, 苏睿明, 马思怡, 聂赛男, 李广龙
2023, 14(1): 67-73. DOI: 10.13264/j.cnki.ysjskx.2023.01.009
摘要 HTML全文 PDF
双Z型异质结BiOI/MoO3/g-C3N4的构建及其光催化性能研究
霍彦廷, 舒庆
2023, 14(1): 74-85. DOI: 10.13264/j.cnki.ysjskx.2023.01.010
摘要 HTML全文 PDF
钴铁镍复合黏结相超细硬质合金显微组织与性能
沈吴毅, 赵鸿金, 田海霞
2023, 14(1): 86-98. DOI: 10.13264/j.cnki.ysjskx.2023.01.011
摘要 HTML全文 PDF
热制度对铜渣微晶玻璃结构和性能的影响规律
赵新宇, 杨天, 杨金成, 李宇
2023, 14(1): 99-106. DOI: 10.13264/j.cnki.ysjskx.2023.01.012
摘要 HTML全文 PDF
冲击荷载对具有轴向静应力红砂岩应力波传播速度的影响特性
金解放, 廖占象, 杨益, 徐虹, 赵奎
2023, 14(1): 107-117. DOI: 10.13264/j.cnki.ysjskx.2023.01.013
摘要 HTML全文 PDF
基于爆炸参数的硫化矿尘云爆炸风险评估
苏港, 饶运章, 田长顺, 向彩榕, 黄涛
2023, 14(1): 118-124. DOI: 10.13264/j.cnki.ysjskx.2023.01.014
摘要 HTML全文 PDF
超重力强化金属铋提取废旧钕铁硼中稀土元素
李春江, 王哲, 郭占成
2023, 14(1): 125-134. DOI: 10.13264/j.cnki.ysjskx.2023.01.015
摘要 HTML全文 PDF
基于协同体系的磁性材料在稀土吸附中的应用研究
孔靖宇, 邱廷省, 邱森, 朱冬梅, 严华山, 周晓文
2023, 14(1): 135-143. DOI: 10.13264/j.cnki.ysjskx.2023.01.016
摘要 HTML全文 PDF
稀土元素铈对精密模具用不锈钢组织性能的影响
冯路路, 罗惠, 杨艳君, 刘松, 乔文玮
2023, 14(1): 144-150. DOI: 10.13264/j.cnki.ysjskx.2023.01.017
摘要 HTML全文 PDF