g-C3N4基光催化剂的制备和应用

Preparation and application of g-C3N4-based photocatalyst

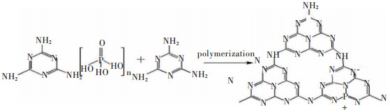
  • 摘要: 石墨相氮化碳(g-C3N4)半导体材料具有无毒、带隙小(2.7 eV)、在太阳光谱中能较好吸收可见光的优点, 是近年来迅速发展的新型可见光催化剂.然而, 纯的g-C3N4还存在可见光捕获能力有限、电荷载流子易重组和比表面积小的缺点, 其光催化效率不够理想, 离实际工业大规模应用还有一段距离.文中总结了g-C3N4的合成方法.阐述了进一步提高g-C3N4活性的方法, 包括孔道和比表面积的调控、贵金属沉积、非金属元素掺杂、半导体复合形成复合材料等.分析了g-C3N4基光催化剂在降解有机污染物、光解水制氢、还原六价铬三方面的研究进展, 并对g-C3N4基光催化剂的研究方向进行了展望.

     

    Abstract: Graphitic carbon nitride (g-C3N4), one kind of semiconductor materials with advantages like no toxicity, small band gap (2.7 eV) and strong absorption capacity for visible light in solar spectrum, is a new type of photocatalyst which has gained rapid development in recent years. Pure g-C3N4, however, has such disadvantages as limited ability to capture visible light, easy recombination with charge carriers and low specific surface area. Its photocatalytic efficiency is hard to meet large-scale application in industry. In this paper, different synthesis methods of g-C3N4 were summarized. The strategies for further enhancing the activity of g-C3N4 were described, including the control of pore and specific surface area, noble metal deposition, nonmetal doping, and formation of the composite material by semiconductor coupling. The research progress of the application of g-C3N4-based photocatalyst in the degradation of organic pollutants, photocatalytic water splitting and reduction of hexavalent chromium was analyzed. Finally, the new prospect for the research on g-C3N4-based photocatalyst was proposed.

     

/

返回文章
返回