铌掺杂对镍基正极材料LiNi0.8Co0.1Mn0.1O2电化学性能影响

Effect of niobium doping on the electrochemical performance of nickel-based cathode materials

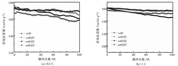
  • 摘要: 解决镍基正极材料LiNi0.8Co0.1Mn0.1O2的电化学循环稳定性和高温循环性能是其产业化推广应用的关键。研究了掺杂铌改性高镍正极材料,优化材料的电化学性能,提升循环稳定性。首先以硫酸盐为原料,在N2保护气氛下,采用共沉淀法合成三元球形Ni0.8Co0.1Mn0.1(OH)2前驱体,通过高温固相反应与LiOH·H2O,Nb2O5合成Li(Ni0.8Co0.1Mn0.11-xNbxO2x=0,0.01,0.02,0.03)系列正极材料。X射线衍射结果表明,Nb5+离子可少量进入正极材料晶格,并在正极材料表面形成化学稳定性好的Li3NbO4。当x=0.02时,在室温25 ℃,电压2.75~4.2 V,0.2 C倍率下首次放电比容量为172.9 mAh/g,100次循环后容量保持率为97.47%,在50 ℃,0.5 C倍率下循环20次容量基本不变,平均放电比容量为183.7 mAh/g,且该样品具有较好的倍率性能。

     

    Abstract: To find out the way to maintain the electrochemical cycle stability and the high-temperature performance of nickel-based cathode materials LiNi0.8Co0.1Mn0.1O2 is the key to its wide application to industry. This paper focuses on the improvement of the electrochemical properties of nickel-based cathode materials by doping niobium. The cathode materials of Li(Ni0.8Co0.1Mn0.1)1-xNbxO2x = 0, 0.01, 0.02, 0.03) were synthesized by calcining the mixtures of LiOH·H2O, Nb2O5 and the ternary material sphericalNi0.8Co0.1Mn0.1(OH) 2 precursor which was made from sulphate by co-precipitation method in N2 atmosphere. The XRD results showed that small amount of the Nb5+ ions could dope into the cathode materials’ lattice and formed Li3NbO4with stable chemical properties on the surface of the cathode materials. When x was 0.02, the special capacity of the first discharge was 172.9 mAh/g and the capacity retention rate was 97.47% after 100 cycles at 25℃, within the voltage range of 2.75~4.2 V and with the ratio of 0.2 C. At 50℃and with the ratio of 0.5 C, the capacity retention rate changed little after 100 cycles and the average discharge specific capacity was 183.7 mAh/g. Moreover, the sample had good rate performance.

     

/

返回文章
返回