铜阳极泥复合浸出渣选择性分离硒过程热力学分析

Thermodynamic analysis on selective separation of Selenium from compound leaching slag of copper anode slime

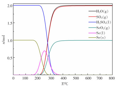
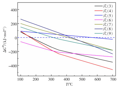
  • 摘要: 铜阳极泥复合浸出渣是铜阳极泥采用复合浸出砷锑铋后的产物,采用硫酸化焙烧选择性分离硒。针对其含硒物质在选择性分离过程中的反应历程不明晰,本文利用Factsage数据库中相关热力学数据及Equilib平衡计算模块对含硒物质在不同温度时反应的ΔGθ及反应过程平衡分析,明晰反应过程中的物相变化规律。结果表明:Cu2Se与H2SO4在低温下反应生成固态Se、CuSO4·H2O、SO2及H2SO4吸水形成H2SO4·H2O;然后固态Se融化变成液态Se,同时与H2SO4·H2O反应生成SeO2、SO2和H2O;高温下CuSO4·H2O会脱水生成CuSO4和H2O,CuSO4会进一步分解生成CuSO4·CuO和SO3;Ag2Se与H2SO4反应生成固态Se、Ag2SO4、SO2及H2SO4吸水形成H2SO4·H2O; 然后固态Se融化变成液态Se,同时与H2SO4·H2O反应生成SeO2、SO2和H2O; 另外高温下Ag2SO4会转变形态;Se与H2SO4反应生成SeO2、SO2和H2O。考察了铜阳极泥复合浸出渣在不同焙烧温度、硫酸用量及焙烧时间对蒸硒率的影响,在焙烧温度为500 ℃、H2SO4加入量为0.2 mL/g、升温速率为10 ℃/min、反应时间为30 min的焙烧条件下,蒸硒率达到95.4%。

     

    Abstract: The compound leaching slag of copper anode slime is the product of compound leaching of arsenic, antimony and bismuth from copper anode slime, and Selenium (Se) is selectively separated by sulfated roasting. In view of the unclear reaction process of the selenium-containing substances in the selective separation process, relevant thermodynamic data in Factsage and Equilib equilibrium calculation module were used to analyze the ΔGθ of selenium-containing substances reacting at different temperatures and reaction process balance, to clarify the law of phase change in reaction process. The results show that at low temperature Cu2Se reacts with H2SO4 to generate solid Se, CuSO4·H2O, SO2 and H2SO4 absorbs water to form H2SO4·H2O. Solid Se then melts into liquid Se and simultaneously reacts with H2SO4·H2O to form SeO2, SO2 and H2O. At high temperature, CuSO4·H2O will be dehydrated to produce CuSO4 and H2O, and CuSO4 will be further decomposed to produce CuSO4·CuO and SO3. Ag2Se reacts with H2SO4 to generate solid Se, Ag2SO4, SO2 and H2SO4 absorbs water to form H2SO4·H2O, and then solid Se melts into liquid Se and reacts with H2SO4·H2O to form SeO2, SO2 and H2O. In addition, Ag2SO4 will change form at high temperature, and Se reacts with H2SO4 to generate SeO2, SO2 and H2O. Therefore, the Se evaporation rates of compound leaching slag of copper anode slime at different roasting temperatures, with different sulfuric acid dosages and for different roasting time were analyzed. Under the roasting condition of temperature at 500 ℃, the added quantity of H2SO4 of 0.2 mL/g, the warming rate 10 ℃/min and the reacting time 30 min, Se evaporation rate reached 95.4%.

     

/

返回文章
返回