CuSi3Mn合金上引连铸工艺参数的研究

Research on process parameters of CuSi3Mn alloy under upward continuous casting

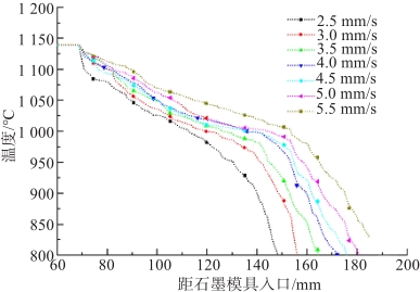
  • 摘要: CuSi3Mn合金是一种可适用于异种金属(铜与钢)焊接且性能优越的焊接材料,然而该合金凝固区间宽、黏度大,上引连铸生产过程易出现表面裂纹、凹坑和断杆等问题。为此,采用ProCast有限元软件对上引连铸CuSi3Mn合金杆成形过程进行数值模拟,研究了模具结构、上引温度、上引速度和合金成分对上引连铸过程中合金糊状区深度和凝固组织的影响规律。结果表明,适当降低Si含量,提高Mn含量和上引速度,有利于细化晶粒,提高等轴晶率;降低一冷区高度和减小模具厚度、提高上引温度,可减小糊状区深度,有利于凝固组织稳定生长,但铸坯晶粒尺寸增大,等轴晶率降低。在合金Si含量为2.8%~3.0% (质量分数)、Mn含量为1.0%~1.2% (质量分数),采用4号模具,控制上引速度为4~5 mm/s,上引温度为1 040~1 140 ℃的较优条件下,可成功生产出质量合格的CuSi3Mn合金杆。

     

    Abstract: CuSi3Mn alloy is an excellent welding material that can be used for welding dissimilar metals between copper and steel. However, it has some problems such as, a wide solidification temperature range, high viscosity, surface cracks, pits, broken rods in the production of upward continuous casting. In this paper, ProCast finite element method software was used to numerically simulate the upward continuous casting forming process of the CuSi3Mn alloy rod. The influence laws of alloy composition, die structure, casting temperature and casting speed on the depth of the mushy zone and solidification microstructure during the solidification process were systematically investigated. The results showed that decreasing the Si content, but increasing the Mn content and casting speed was beneficial to refine grain and increase the equiaxed crystal ratio. Reducing the first cold zone height and the die thickness but increasing the casting temperature could reduce the depth of the mushy zone, which was conducive to the stable growth of the solidified structure. However, the equiaxed crystal ratio decreased with the increasing of grain size. Finally, the CuSi3Mn alloy rod with qualified quality could be successfully produced, when its Si content was 2.8%‒3.0% (mass percentage) and Mn content 1.0%‒1.2% (mass percentage), with No.4 die used, the casting speed of 4‒5 mm/s and casting temperature of 1040‒1140 ℃.

     

/

返回文章
返回