温度与灰砂比对尾砂胶结充填体力学及损伤特性的影响

Influence of temperature and cement-tailings ratio on the mechanical and damage characteristics of cemented tailings backfill

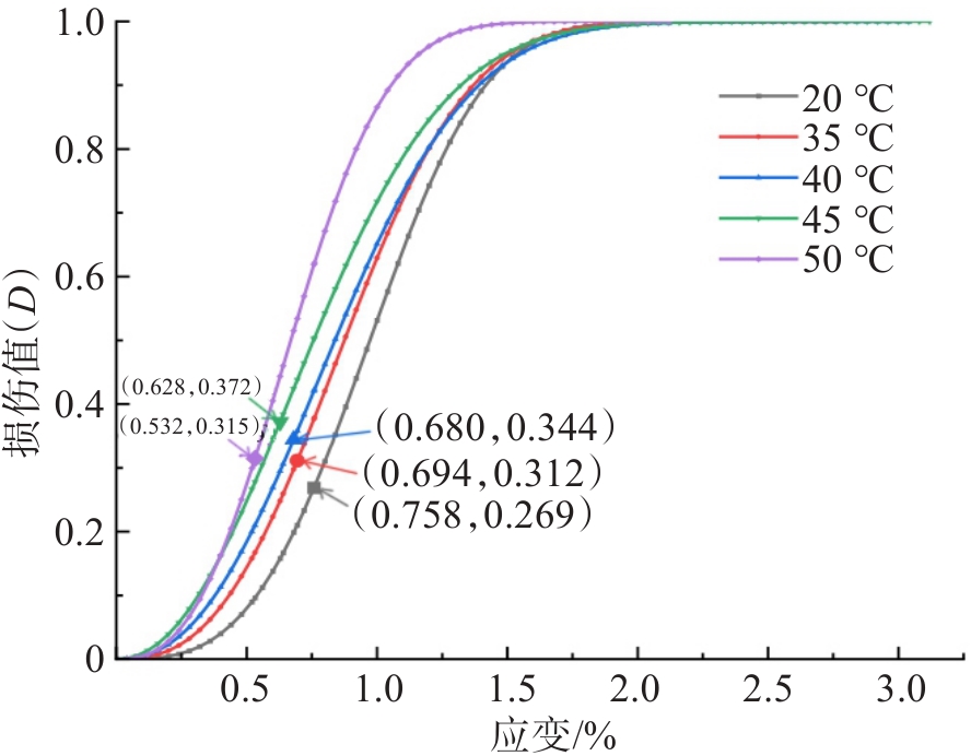
  • 摘要: 温度与灰砂比是影响尾砂胶结充填体力学及损伤特性的2个重要因素。利用某金属矿全尾砂制备不同灰砂比(1∶4、1∶6、1∶8、1∶10、1∶12)(质量比,下同)全尾砂胶结充填体试样,经不同温度(20、35、40、45、50 ℃)养护后对试样进行单轴压缩、波速和孔隙率测定试验,获得试样的应力-应变关系曲线及物理力学参数。基于应变等价原理,建立损伤演化方程和损伤本构模型,研究温度与灰砂比对充填体力学及损伤特性的影响,并结合灰色关联分析法探究两者影响的差异。研究表明:充填体抗压强度及弹性模量随温度的升高先增加后减小,随灰砂比的增大而增大,并在温度为45 ℃、灰砂比为1∶4时达到最大;通过本构模型理论值与试验实测值的对比验证了模型的可靠性;灰色关联分析的结果表明,温度对波速、孔隙率和峰值损伤的贡献率大于灰砂比,对抗压强度和弹性模量的贡献率小于灰砂比。研究结果可为矿山绿色充填开采设计提供参考。

     

    Abstract: Temperature and cement-tailings ratio are the two main factors affecting the mechanical and damage characteristics of cemented tailings backfill. The cemented unclassified tailings backfill samples with different cement-tailings ratios (1∶4, 1∶6, 1∶8, 1∶10 and 1∶12) were prepared by using the unclassified tailings of a metal mine. After curing at different temperatures (20, 35, 40, 45, 50 ℃), the samples were subjected to uniaxial compression, wave velocity and porosity measurement tests to obtain the stress-strain relationship curve and physico-mechanical parameters. Based on the principle of strain equivalence, a damage evolution equation and a damage constitutive model were established to investigate the effects of temperature and cement-tailings ratio on the backfill mechanics and damage characteristics, and the difference between the two effects was explored by grey correlation analysis. The results showed that the compressive strength and elastic modulus of the backfill increased first and then decreased with the increase of temperature, and increased with the increase of cement-tailings ratio, reaching the maximum at a temperature of 45 °C and cement-tailings ratio of 1∶4; the reliability of the model was verified by the comparison between the theoretical value of the constitutive model and the experimentally measured value. The results of the grey correlation analysis indicated that the contribution rate of temperature to wave velocity, porosity, and peak damage was greater than that of the cement-tailings ratio, and the contribution rate to compressive strength and elastic modulus was smaller than that of the cement-tailings ratio. The results can provide a reference for the design of green-filling mining in mines.

     

/

返回文章
返回