前驱体预处理对富锂锰基氧化物电化学的影响

Effect of precursor pretreatment on the electrochemistry of lithium-rich manganese oxides

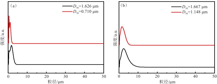
  • 摘要: 实验通过小规模共沉淀和固相反应成功合成了无钴富锂锰基前驱体Ni0.3Mn0.7(OH)2,将前驱体不进行和进行机械粉碎,分别得到2种不同粒径的Ni0.3Mn0.7(OH)2D50=1.626 µm和0.710 µm)前驱体。不同粒径大小的前驱体与LiOH以1∶1.55的摩尔比混合,经过高温烧结,合成2种颗粒大小的富锂锰基正极材料Li1.2Ni0.24Mn0.56O2 D50=1.667 µm和1.148 µm)。实验结果表明,颗粒尺寸影响其物理化学性质和电化学性能。Li1.2Ni0.24Mn0.56O2 D50=1.148 µm)正极材料具有较小颗粒尺寸,显示出优异的电化学性能(在0.5 C下循环100次后,容量为190.7 mAh/g,循环保持率高达91.2%)。研究揭示了一种简易方法改变颗粒大小,并证明了粒径对电化学的重要性。

     

    Abstract: In this experiment, the cobalt-free lithium-rich manganese precursor Ni0.3Mn0.7(OH)2 was successfully synthesized by small-scale co-precipitation and solid-phase reaction, and the precursor was mechanically crushed with or without the precursor to obtain two different particle sizes of Ni0.3Mn0.7(OH)2 (D50=1.626 µm and 0.710 µm) precursors. The precursors with different particle sizes were mixed with LiOH in a molar ratio of 1:1.55 and sintered at high temperature to synthesize two Li Mn-rich cathode materials with different particle sizes, Li1.2Ni0.24Mn0.56O2 (D50=1.667 µm and 1.148 µm). The experimental results show that the particle size also affects its physicochemical properties and electrochemical performance. Li1.2Ni0.24Mn0.56O2 (D50=1.148 µm) cathode material with smaller particle size shows excellent electrochemical performance (capacity of 190.7 mAh/g after 100 cycles at 0.5 C and cycle retention rate of 91.2%). Our study reveals an easy way to change the particle size and demonstrates the importance of particle size for electrochemistry.

     

/

返回文章
返回