碳化钨的形貌调控及其载铂电化学性能

Morphology modulation of tungsten carbide and its electrochemical performance as a Pt cocatalyst

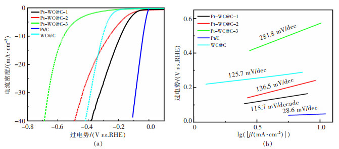
  • 摘要: 本文采用水热模板法,通过添加表面活化剂柠檬酸和模板剂氧化石墨烯(GO)调控前驱体的形貌尺寸。将前驱体置于空气气氛中进行热处理,得到厚度薄、尺寸小、分散的WO3。在氮气保护气氛下,通入乙醇/甲醇液体碳源,并处于1 000 ℃下保温2 h,进行原位还原碳化反应,得到表面包覆石墨化碳层的碳化钨(WC@C)。在WC@C表面原位负载不同浓度的Pt NPs,得到Pt-WC@C复合催化剂。该催化剂Pt-WC@C-1(10% Pt)在碱性溶液中性能较佳,电流密度为10 mA/cm2下的过电势(η10)为187 mV,塔菲尔斜率为115.7 mV/dec(10% Pt);在酸性溶液中具有更优良的析氢催化性能,Pt-WC@C-2(5% Pt)性能优于Pt-WC@C-1(10% Pt)和Pt-WC@C-3(1% Pt),η10为87.6 mV,塔菲尔斜率为51.2 mV/dec。这主要归因于分散性较好的WC表面包覆了较薄的石墨化碳层。

     

    Abstract: In this paper, the hydrothermal template method was applied to regulate the morphology and size of the precursors by adding the surfactant citric acid and the template graphene oxide (GO). The precursor was placed in the air atmosphere for heat treatment to obtain thin, small-sized and dispersed WO3. Then, under a nitrogen protection atmosphere, the ethanol/methanol liquid carbon source was introduced and kept warm at 1 000 ℃ for 2 h to carry out the in-situ reduction carbonization reactions and the tungsten carbide (WC@C) coated with graphified carbon layer was obtained. Different concentrations of Pt NPs in situ at WC@C surface loading yielded a Pt-WC@C compound catalyst. The catalyst Pt-WC@C-1 (10% Pt) has the best performance in an alkaline solution, with an overpotential (η10) of 187 mV and a Taffir slope of 115.7 mV / dec (10% Pt) at the current density of 10 mA/cm2. In acid solution, the Pt-WC@C compound catalyst has a better performance in catalytic properties of hydrogen precipitation. The performance of Pt-WC@C-2 (5% Pt) is better than that of Pt-WC@C-1 (10% Pt) and Pt-WC@C-3 (1% Pt) with an overpotential (η10) of 87.6 mV and the Taffir slope of 51.2 mV/dec, which is mainly due to thinner graphitized carbon layers coated on the surface of well-dispersed WC particles.

     

/

返回文章
返回