Ti/Cr比对(VFe)50Ti26-xCr24+x(0≤x≤2.0)储氢合金吸放氢性能的影响

Effect of Ti/Cr on hydrogen absorption/desorption properties of(VFe)50Ti26-xCr24+x(0≤x≤2.0)hydrogen storage alloys

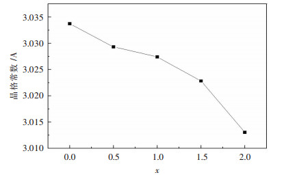
  • 摘要: 为研究不同Ti/Cr比对(VFe)50Ti26-xCr24+x(0≤x≤2.0)储氢合金吸放氢性能的影响规律,采用FeV80中间合金制备了低成本储氢合金并系统研究了储氢合金的吸放氢性能及组织结构. PCT及XRD实验结果表明:随着Ti/Cr比的降低(x的增加),合金的吸放氢量均呈现减小的趋势,放氢平台压则不断增大,所有的合金均由主相BCC及稀土氧化物CeO2相组成,主相BCC的晶格常数随着Ti/Cr比的降低而减小.

     

    Abstract: In order to study the law of Ti/Cr on absorption/desorption properties of(VFe)50Ti26-xCr24+x(0≤x≤2.0)hydrogen storage alloys, Low cost hydrogen storage alloys were prepared by FeV80 and their microstructures and hydrogen absorption/desorption properties were studied systematically. The experimental results show that hydrogen absorption/desorption capacity decrease with Ti/Cr ratio drops(x increases), but the hydrogen desorption plateau pressure of the alloys with lower Ti/Cr ratio increases. All the alloys are composed of BCC and CeO2 phases, lattice constant of BCC phases decrease as Ti/Cr ratio drops.

     

/

返回文章
返回