微波活化铜精矿加压浸出动力学

Pressure Leaching Kinetics of Microwave-activated Copper Sulfide Concentrate

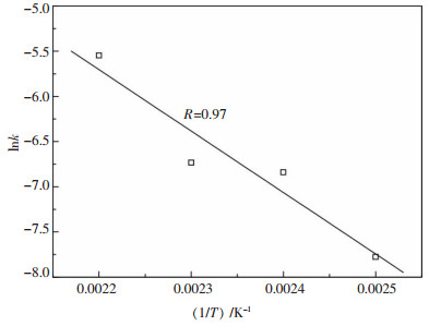
  • 摘要: 铜精矿经微波活化后, 在初始硫酸浓度1.23 mol/L, 液固比(mL/g)30/1, 氧分压0.6 MPa, 搅拌转速度500 r/min条件下, 在408~453 K范围内研究了加压浸出动力学, 并与微波活化前浸出动力学进行比较.结果表明, 微波活化前后, 铜精矿铜、锌浸出行为规律基本一致.在408~438 K范围内, 铜精矿微波活化前后, 铜浸出速率未见明显变化, 而当温度升高至453 K后, 铜浸出速率较微波活化前略有增大.当温度低于423 K时, 锌浸出速率较微波活化前略有增大; 当温度高于438 K时, 锌浸出过程反而略有放缓.微波活化铜精矿铜、锌浸出反应的表观活化能分别为56.33、49.77 kJ/mol, 铜、锌浸出过程均遵循界面化学反应控制的收缩核模型.与活化前相比, 铜精矿经微波活化后铜、锌浸出过程得以促进.

     

    Abstract: The pressure leaching kinetics of microwave-activated copper sulfide concentrate is studied and further compared with that of the pretreated concentrate in the following conditions:the leaching temperature is from 408 K to 453 K; the initial sulfuric acid concentration is 1.23 mol/L; the ratio of liquid to solid as 30/1(mL/g); the oxygen partial pressure is 0.6 MPa; the agitation speed is 500 r/min.The results show that the leaching behaviors of both copper and zinc are similar to those of the pretreated concentrate.The leaching rate of copper is also approximate to that of the pretreated concentrate in the range of leaching temperature from 408 K to 438 K.When the leaching temperature is heated to 453 K, the leaching rate of copper is slightly higher than that of the pretreated concentrate. When the leaching temperature is lower than 423 K, the leaching rate of zinc is slightly higher than that of the pretreated concentrate.However, the leaching of zinc is slowed while the leaching temperature is higher than 438 K. The apparent activation energy is determined as 56.33 kJ/mol and 49.77 kJ/mol for the leaching of copper and zinc respectively.The leaching of both copper and zinc for microwave-activated concentrate follows the shrinking core model with surface reaction control.The leaching of both copper and zinc is promoted after the copper concentrate is pretreated by microwave activation.

     

/

返回文章
返回